7.5 【基础】类的继承(Inheritance)¶
类的继承,跟人类繁衍的关系相似。
被继承的类称为基类(也叫做父类),继承而得的类叫派生类(也叫子类),这种关系就像人类的父子关系。
继承最大的好处是子类获得了父类的全部变量和方法的同时,又可以根据需要进行修改、拓展。
继承的语法结构是
class 子类(父类):
1. 单继承¶
举个例子:下面的代码中。先是定义了一个 People 类,里面有一个 speak 方法。然后再定义一个 Student 类,并继承自 People 类。
# 父类定义
class People:
def __init__(self, name, age, weight):
self.name = name
self.age = age
def speak(self):
print(f"{self.name} 说: 我{self.age}岁。")
# 单继承示例
class Student(People):
def __init__(self, name, age, weight, grade):
# 调用父类的实例化方法
People.__init__(self, name, age, weight)
self.grade = grade
由于继承的机制,Student 实例会拥有 People 类所有属性和方法,比如下边我可以直接调用 People 类的 speak 方法。
>>> xm = Student(name="小明", age=10, weight=50, grade="三年级")
>>> xm.speak()
小明 说: 我 10 岁。
你如果不想使用父类的方法,你可以重写它以覆盖父类的 speak 方法。
# 单继承示例
class Student(People):
def __init__(self, name, age, weight, grade):
# 调用父类的实例化方法
People.__init__(self, name, age, weight)
self.grade = grade
# 重写父类的speak方法
def speak(self):
print(f"{self.name} 说: 我{self.age}岁了,我在读{self.grade}")
此时,再调用的话,就会调用自己的方法了
>>> xm = Student(name="小明", age=10, weight=50, grade="三年级")
>>> xm.speak()
小明 说: 我10岁了,我在读三年级
2. 多继承¶
Python 还支持多继承,可以继承自多个类。
class 子类(父类1, 父类2, 父类3...):
多继承的话,情况会比单继承复杂得多。
假设多个父类都有一个 foo 方法,并且子类没有重写 foo 方法,那么 子类 的实例在调用 foo 方法时,应该使用哪个父类的 foo 方法呢?
关于这一点,只要简单的做个验证就行啦。
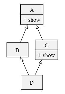
有如下代码,定义了 7 个类
class D:pass
class C(D):pass
class B(C):
def show(self):
print("i am B")
class G:pass
class F(G):pass
class E(F):
def show(self):
print("i am E")
class A(B, E):pass
它们的继承关系是

运行后的结果如下
>>> a = A()
>>> a.show()
i am B
在类A中,没有show()这个方法,于是它只能去它的父类里查找,它首先在B类中找,结果找到了,于是直接执行B类的show()方法。可见,在A的定义中,继承参数的书写有先后顺序,写在前面的被优先继承。
3. 继承顺序¶
那如果B没有show方法,而是D有呢?
class D:
def show(self):
print("i am D")
class C(D):pass
class B(C):pass
class G:pass
class F(G):pass
class E(F):
def show(self):
print("i am E")
class A(B, E):pass
执行结果是
>>> a = A()
>>> a.show()
i am D
由此可见,多继承的顺序使用的是从左向右再深度优先的原则。

4. MRO 算法¶
上面的继承案例是只是非常简单的一种场景,在实际应用中,会远比这个来得复杂。
此时如果你单纯的将其理解成
- 从左向右
- 深度优先
就会发现很场景下想要理清的方法解析顺序(MRO)是非常难的。
在这种情况下,你还可以有两种方法:
- 使用
__mro__来查询 - 使用 merge算法进行推导
使用 mro 查询¶
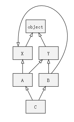
比如在下面这个菱形继承中
class A(object):pass
class B(A):pass
class C(A):pass
class D(B, C):pass

可以使用 __mro__
>>> print(D.__mro__)
或者借助 inspect 模块
>>> import inspect
>>> print inspect.getmro(D)
得到的结果都将是
(<class '__main__.D'>,
<class '__main__.B'>,
<class '__main__.C'>,
<class '__main__.A'>,
<class 'object'>)
使用 merge 推导¶

- 检查第一个列表的头元素(如 L[B1] 的头),记作 H。
- 若 H 未出现在其它列表的尾部,则将其输出,并将其从所有列表中删除,然后回到步骤1;否则,取出下一个列表的头部记作 H,继续该步骤。
- 重复上述步骤,直至列表为空或者不能再找出可以输出的元素。如果是前一种情况,则算法结束;如果是后一种情况,说明无法构建继承关系,Python 会抛出异常。
你可以在草稿纸上,参照上面的merge算法,写出如下过程
L[object] = [object]
L[D] = [D, object]
L[E] = [E, object]
L[F] = [F, object]
L[B] = [B, D, E, object]
L[C] = [C, D, F, object]
L[A] = [A] + merge(L[B], L[C], [B], [C])
= [A] + merge([B, D, E, object], [C, D, F, object], [B], [C])
= [A, B] + merge([D, E, object], [C, D, F, object], [C])
= [A, B, C] + merge([D, E, object], [D, F, object])
= [A, B, C, D] + merge([E, object], [F, object])
= [A, B, C, D, E] + merge([object], [F, object])
= [A, B, C, D, E, F] + merge([object], [object])
= [A, B, C, D, E, F, object]